首页 >> 焦点新闻 >> 正文
科研动态 | 延迟期后期铜绿微囊藻在铜暴露下的高敏感性有利于其控制
发布时间:2022年03月03日 点击数:

近日,新葡的京官网于鑫教授团队在蓝藻水华关键生长期的特征及其控制研究方向取得进展,相关成果以 “Higher sensitivity to Cu2+ exposure of Microcystis aeruginosa in late lag phase is beneficial to its control” 为题,发表在环境领域著名学术期刊Water Research上。该研究关注了蓝藻生长的延迟期后期并探究了其在铜暴露下的敏感性及处理效果,相关研究结论对于在水华控制中减少杀藻剂投加量、降低对水生环境的负面影响具有重要的指导意义。

图片

研究背景

蓝藻水华的频发是水生系统中长期存在的环境问题,对公众健康及环境安全产生了严重的威胁。CuSO4是常见的蓝藻水华应急处理杀藻剂,但由于其生态风险与优秀控藻能力并存,降低剂量、合理使用以实现蓝藻水华的有效控制依然是现阶段重要的探索方向。在水华过程中,延迟和暴发阶段对于其形成具有关键作用。由于蓝藻生长速度快、代谢旺盛、活性强,或细胞数量多、环境破坏明显等,以往对蓝藻控制的研究大多集中在暴发阶段(对数期)。然而,延迟期后期的细胞正通过大量的能量、物质的积累和合成为后续快速增殖做准备,其细胞呼吸/合成速率接近对数期,且对不良环境条件较为敏感。这表明,如果能在延迟期后期采取措施控制蓝藻的生长,CuSO4处理或许能够成为一种更为经济、安全的控藻方式。



研究过程

本研究模拟了水华过程,并选择延迟期后期和对数期的M. aeruginosa作为研究对象,通过比较CuSO4作用下叶绿素和Fv/Fm的变化,探究其对不同生长期M. aeruginosa生长和光合活性的抑制效果,并比较不同生长期M. aeruginosa在种群和个体水平上的敏感性差异。此外,还通过探究胞内/胞外微囊藻毒素和细胞膜完整性的变化情况,评估不同生长期M. aeruginosa对水环境的负面影响。研究结果表明:

(1)延迟期后期M. aeruginosa的细胞分裂比、光合活性Fv/Fm和胞内有机质含量高于对数期,说明其代谢活性更强;

(2)相同剂量CuSO4作用下,延迟期后期M. aeruginosa叶绿素a、Fv/Fm和细胞膜完整性的降低比对数期更为显著,说明其在该生长期更容易灭活;

(3)延迟期后期M. aeruginosa较低的细胞密度是其更容易被CuSO4灭活的原因之一;

(4)延迟期后期M. aeruginosa更高的个体细胞敏感性使得CuSO4对其灭活更加容易;

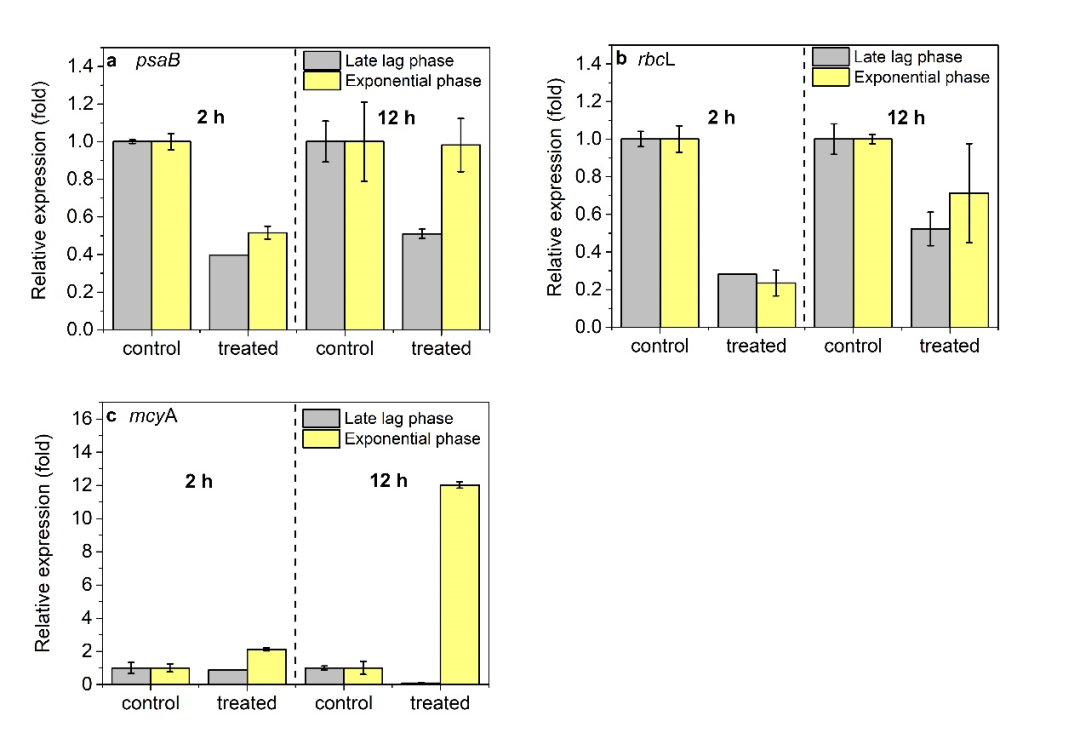
(5)在CuSO4作用下,延迟期后期藻毒素合成基因mcyA表达下调,藻毒素总量和释放量均小于对数期,因此,其对饮用水安全的危害也低于对数期。

研究认为延迟期后期M. aeruginosa更高的敏感性意味着采用低剂量的CuSO4即可有效控制藻的生长,并能够降低由藻毒素释放带来的环境风险,是一种环境友好的控藻策略。


图片

从延迟期到对数期M. aeruginosa (a) 细胞分裂比、(b)Fv/Fm值、(c)单个细胞TOC含量的变化。其中(a)中Day 6处于延迟期后期。

图片

0-1.0 mg L-1 CuSO4作用下M. aeruginosa延迟期后期(a, c)和对数期(b, d)叶绿素a含量的绝对值和相对值的变化。其中,叶绿素a的相对值是绝对值归一化的结果。

图片

0-1.0 mg L-1 CuSO4作用下M. aeruginosa延迟期后期(a)和对数期(b)光合活性Fv/Fm绝对值的变化。

图片

延迟期后期(a)和对数期(b)M. aeruginosa在密度相同的情况下,0.1 mg L-1 CuSO4处理后叶绿素a和Fv/Fm绝对值的变化。

图片

延迟期后期和对数期M. aeruginosa在密度相同的情况下,0.1 mg L-1 CuSO4处理2和12h后光合作用相关基因psaBrbcL和藻毒素合成相关基因mcyA的相对表达情况。其中,对照组为0 mgL-1 CuSO4,处理组为0.1 mg L-1 CuSO4。采用16S rRNA作为管家基因调控基因表达的变化,采用2−ΔΔCt法定量各处理组间不同基因的相对表达量。

图片

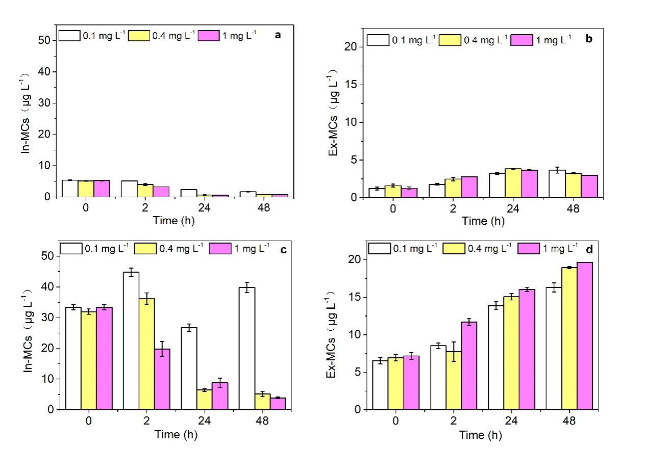
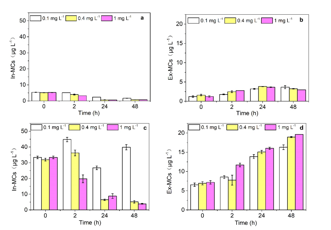
0.1、0.4和1 mg L-1 CuSO4作用下延迟期后期(a, b)和对数期(c, d)M. aeruginosa胞内(In-MCs)和胞外(Ex-MCs)微囊藻毒素的变化。

图片

0.1、0.4和1 mg L-1 CuSO4作用下延迟期后期(a)和对数期(b)M. aeruginosa细胞膜完整性损伤情况。其中阴性对照为未处理的藻细胞(不加染料),阳性对照为65oC加热10 min后的藻细胞(加染料)。

LI

研究团队

新葡的京集团35222vip于鑫教授为通讯作者,博士研究生仙旋旋为第一作者,中科院城市环境研究所特别研究助理李曦,新葡的京集团35222vip博士研究生叶成松、博士后万堃、副教授冯明宝、硕士研究生罗晨为共同署名作者。研究获得国家自然科学基金(41861144023, U2005206)、厦门市重大科技项目(YDZX20203502000003)的资助。


论文来源

Xian XX, Li X, Ye CS, Wan K, Feng MB, Luo C, Yu X*. 2022. Higher sensitivity to Cu2+ exposure of Microcystis aeruginosa in late lag phase is beneficial to its control. Water Research,214:118207. https://doi.org/10.1016/j.watres.2022.118207.



Top